Christians and Jews have long recognized the Song of Songs to be one of the most mysterious books of the Bible. One medieval Jewish commentary, Saadia, claimed the book was like a lock whose keys had been lost. When reading the book, a host of questions arise like, “How ‘literally’ should the book be taken?” and “How many characters are in the book (two, three, or more)?” An even more perplexing question to ask is, “How do you actually outline this thing?” The book defies easy outlining particularly because it is poetry. Poetry typically does not lend itself to a neat and tidy outline like, say, Romans. Furthermore, the Song is Hebrew poetry is markedly different than the poetry that 21st Century Americans would be used too. Typically, when Americans think poetry, they think rhyming. But Hebrew poetry does not use rhyming as a distinctive feature.
The book is also difficult to outline because it’s hard to know where one speech ends and another begins. Yet in a series of articles, Old Testament scholar Gordan H. Johnston seeks to elucidate the literary structure of Song of Solomon and actually provide an outline. Johnston first surveys the various attempts to classify the Song’s genre. Here are main views as to the Song’s genre:
The Song as Literary Drama. The Song is like a play composed for dramatic reading. The weakness of such a reading is that it imports views of drama that did not exist in the ancient Near East.
The Song as Morality Tale. The Song is about a love triangle between three characters. The weakness of this approach is that it creates a third character out of thin air.
The Song as Poetry Narrative. The Song is telling the story of a growing love relationship. The weakness of this approach is that the Song does not unfold in a neat narrative plotline. The elements of the Song are too intermixed together.
The Song as Dramatic Dialogue. The Song is recounting the dialogue between two lovers. Such an approach merely states the obvious about the Song and does not provide a compelling reason as to how to structure the Song.
The Song as Historical Allegory. The Song is an allegory for Israel’s history. Allegorical approaches to the book read back into the text elements that aren’t really there.
The Song as Parabolic Treatise. The Song is an attempt to instruct people in how handle love using the book’s refrains as the anchor points. This view has a strong anchoring in the text but did not catch on when it was first proposed.
The Song as Seven-Day Wedding Festival. The Song’s structure corresponds to a seven-day festival common in Jewish and Syrian weddings. The weakness of this approach is that it reads back customs from the nineteenth century to ancient Israel.
The Song as Chiastic Composition. The Song is structured as a chiasm. There are certainly chiastic elements in the book, but no scholars has provided the definitive treatment on the subject.
The Song as Anthology of Love Poems. The Song is a collection of love poems which may or may not be related to one another. Yet the Song may be too artfully structured to just a loose collection of poems.
After surveying the various views, Johnston then proposes a way forward to unlocking the literary structure of the Song. He first focuses on the phenomenon of refrain in biblical poetry. A refrain is a repeated line, or lines, of poetry at intervals in the poem. The refrain often marks the close of a unit (290). Sometimes poems can even be closed with multiple refrains. Johnston then points out that there are different kinds of refrains in the Song. Some examples are:
- Romance refrain: “His left hand is under my head, his right hand embraces me” (2:6; 8:3).
- Adjuration Refrain: “I adjure the maidens…” (2:7; 3:5; 5:8; 8:4)
- Mutual possession refrain: “I am beloved’s…” (2:16; 6:3; 7:11).
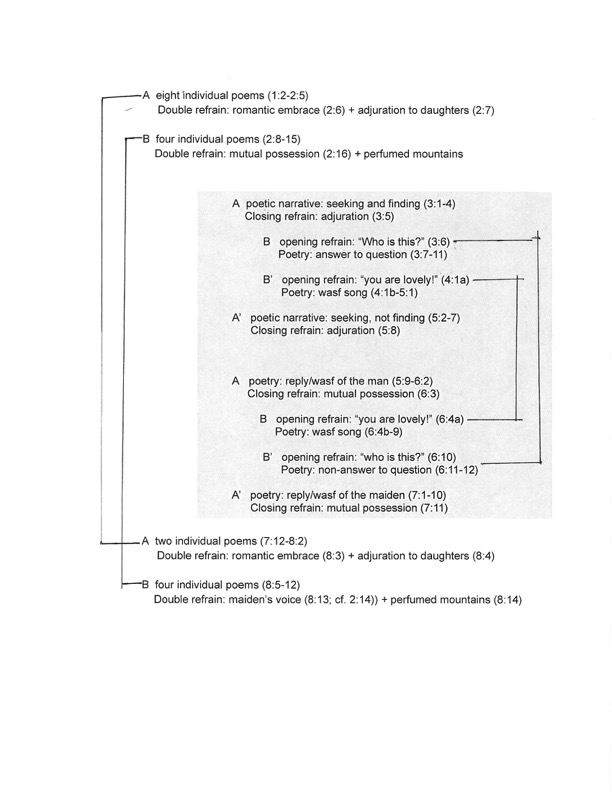
Johnston then goes to show that literary units which end with two refrains match each other in the Song (297):

Notice how each of the units ends with a double refrain. These double refrain sections provide the beginning and ending sections of the book. But what about the middle?
The middle is structured through the use of single refrains. One refrain closes the interior portion of the book (298):

Therefore, the resulting structure is that you have something like a chiasm (ABB’A’) inside a larger chiasm. In other words, the Song begins with setting out a certain poetic structure in (1:2-2:7), then it is interrupted by the middle section’s own coherent structure (3:1-7:11), only for the opening section to be matched by the ending section (7:12-8:14). Combing Johnston’s work on the exterior and interior frame of the Song would yield something like this:

Obviously, that’s a lot to take in. In coming posts, I will look at what the significance of this structure is.